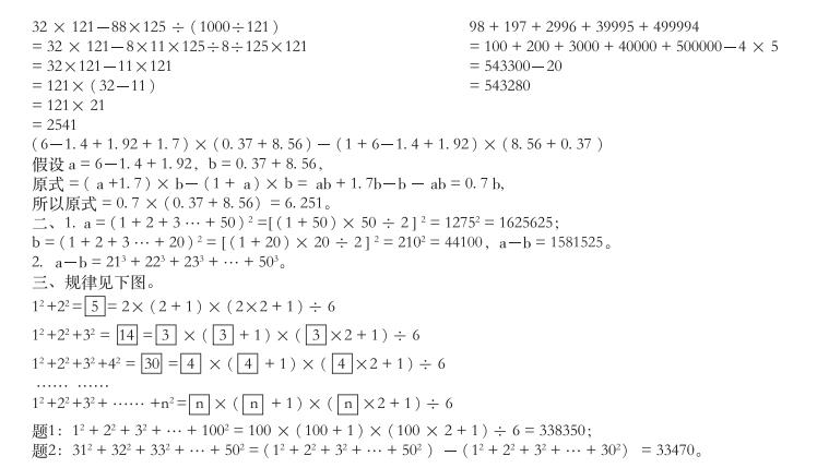
簡便計(jì)算(suàn)--五下(xià)